27Φεβρουάριος2026

Βρίσκεστε εδώ: Πρωτοσέλιδο | Ελλάδα | Πανελλαδικές 2024 | Πανελλαδικές 2020: Οι απαντήσεις στην Φυσική [Προσανατολισμού]

Πανελλαδικές 2024 - Θέματα & Απαντήσεις

Πανελλαδικές 2020: Οι απαντήσεις στην Φυσική [Προσανατολισμού]

Διαβάστε αναλυτικά τις απαντήσεις στην Φυσική [Προσανατολισμού] σε συνεργασία με το Φροντιστήριο «ΑΛΜΑ».

ΠΑΝΕΛΛΑΔΙΚΕΣ ΕΞΕΤΑΣΕΙΣ

Γ' ΤΑΞΗΣ ΗΜΕΡΗΣΙΟΥ ΓΕΝΙΚΟΥ ΛΥΚΕΙΟΥ

Δευτέρα 20 Ιουνίου 2020

ΕΞΕΤΑΖΟΜΕΝΟ ΜΑΘΗΜΑΦΥΣΙΚΗ ΠΡΟΣΑΝΑΤΟΛΙΣΜΟΥ

1. Πανελλαδικώς εξεταζόμενα μαθήματα των ημερησίων και εσπερινών ΓΕΛ με το νέο σύστημα.

  • Για τα θέματα 'ΦΥΣΙΚΗ' πατήστε εδώ.

2. Πανελλαδικώς εξεταζόμενα μαθήματα των ημερησίων και εσπερινών ΓΕΛ με το παλαιό σύστημα.

  • Για τα θέματα 'ΦΥΣΙΚΗ (Ημερήσια)' πατήστε εδώ.
  • Για τα θέματα 'ΦΥΣΙΚΗ (Εσπερινά)' πατήστε εδώ.

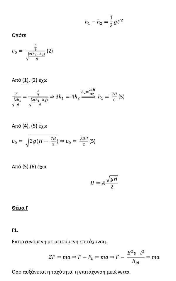
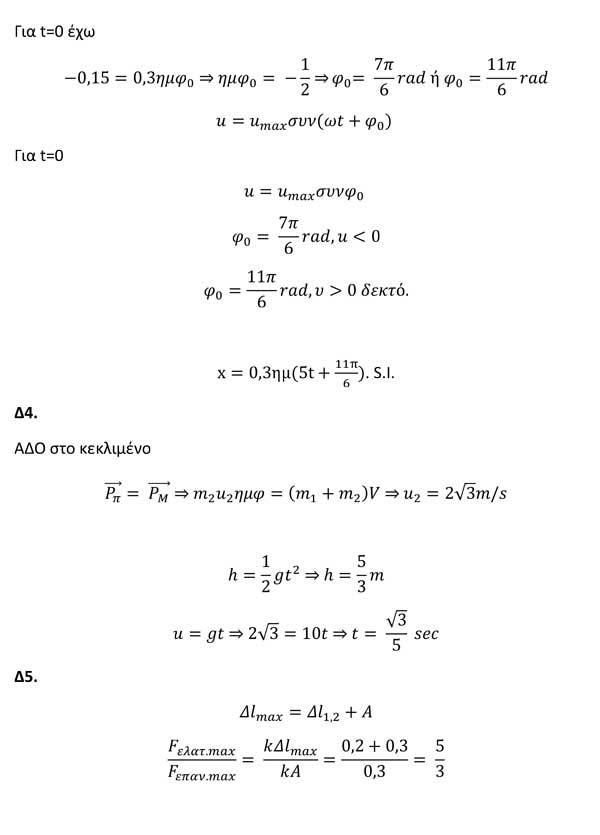
f1

f2

f3

f4

f5

f6

f7

Ομάδα Φυσικών <<Φροντιστήριο Άλμα>>

Βγενόπουλος Αντώνης
Βώσσος Κώστας
Παρασκευόπουλος Χρυσοβαλάντης

myILIAnews.gr

Ειδήσεις-Ενημέρωση από την Ηλεία, την Ελλάδα και όλο τον κόσμο!