Ειδήσεις και θέματα υγείας διατροφής και ομορφιάς. Συμβουλές για υγεία και ευεξία
Κορωνοϊός: 2801 νέα κρούσματα - 16 στην Ηλεία, 75 θάνατοι και 781 διασωληνωμένοι
- In Υγεία
- Τελευταία ενημέρωση : 10 Απρίλιος 2021
Τα νέα εργαστηριακά επιβεβαιωμένα κρούσματα της νόσου που καταγράφηκαν τις τελευταίες 24 ώρες είναι 2.801, εκ των οποίων 4 εντοπίστηκαν κατόπιν ελέγχων στις πύλες εισόδου της χώρας. Ο συνολικός αριθμός των κρουσμάτων ανέρχεται σε 293.763 (ημερήσια μεταβολή +1.0%), εκ των οποίων 51.4% άνδρες. 1 Με βάση τα επιβεβαιωμένα κρούσματα των τελευταίων 7 ημερών, 83 θεωρούνται σχετιζόμενα με ταξίδι από το εξωτερικό και 3.003 είναι σχετιζόμενα με ήδη γνωστό κρούσμα.
Οι νέοι θάνατοι ασθενών με COVID-19 είναι 75, ενώ από την έναρξη της επιδημίας έχουν καταγραφεί συνολικά 8.833 θάνατοι. Το 95.6% είχε υποκείμενο νόσημα ή/και ηλικία 70 ετών και άνω.
Ο αριθμός των ασθενών που νοσηλεύονται διασωληνωμένοι είναι 781 (63.4% άνδρες). Η διάμεση ηλικία τους είναι 68 έτη. To 82.8% έχει υποκείμενο νόσημα ή/και ηλικία 70 ετών και άνω. Από την αρχή της πανδημίας έχουν εξέλθει από τις ΜΕΘ 1.853 ασθενείς. Οι εισαγωγές νέων ασθενών Covid-19 στα νοσοκομεία της επικράτειας είναι 504 (ημερήσια μεταβολή -9.84%). Ο μέσος όρος εισαγωγών του επταημέρου είναι 530 ασθενείς.Η διάμεση ηλικία των κρουσμάτων είναι 44 έτη (εύρος 0.2 έως 105 έτη), ενώ η διάμεση ηλικία των θανόντων είναι 79 έτη (εύρος 0.2 έως 103 έτη).
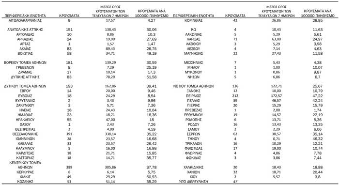
Κατανομή ανακοινωθέντων εγχώριων κρουσμάτων:
Από το σύνολο των 2.801 νέων κρουσμάτων του νέου ιού στη χώρα 4 είναι εισαγόμενα εκ των οποίων 4 εντοπίστηκαν κατόπιν ελέγχων στις πύλες εισόδου της χώρας. Η κατανομή των 2.797 νέων εγχώριων κρουσμάτων ανά Περιφερειακή Ενότητα παρουσιάζεται στον κατωτέρω πίνακα.

photo: pixabay



