Ειδήσεις και θέματα υγείας διατροφής και ομορφιάς. Συμβουλές για υγεία και ευεξία
Κορωνοϊός: 2.093 νέα κρούσματα - 9 στην Ηλεία, 96 θάνατοι και 765 διασωληνωμένοι
- In Υγεία
- Τελευταία ενημέρωση : 05 Μάιος 2021
Τα νέα εργαστηριακά επιβεβαιωμένα κρούσματα της νόσου που καταγράφηκαν τις τελευταίες 24 ώρες είναι 2.093, εκ των οποίων 6 εντοπίστηκαν κατόπιν ελέγχων στις πύλες εισόδου της χώρας.
Ο συνολικός αριθμός των κρουσμάτων ανέρχεται σε 352.027 (ημερήσια μεταβολή +0.6%), εκ των οποίων 51.3% άνδρες.
1 Με βάση τα επιβεβαιωμένα κρούσματα των τελευταίων 7 ημερών, 44 θεωρούνται σχετιζόμενα με ταξίδι από το εξωτερικό και 865 είναι σχετιζόμενα με ήδη γνωστό κρούσμα.
To ???????? για την επικράτεια εκτιμάται σε 0.96 (95%Crl: 0.37 - 1.43)
Οι νέοι θάνατοι ασθενών με COVID-19 είναι 96, ενώ από την έναρξη της επιδημίας έχουν καταγραφεί συνολικά 10.764 θάνατοι. Το 95.3% είχε υποκείμενο νόσημα ή/και ηλικία 70 ετών και άνω
Ο αριθμός των ασθενών που νοσηλεύονται διασωληνωμένοι είναι 765 (61.6% άνδρες). Η διάμεση ηλικία τους είναι 67 έτη. To 82.1% έχει υποκείμενο νόσημα ή/και ηλικία 70 ετών και άνω. Από την αρχή της πανδημίας έχουν εξέλθει από τις ΜΕΘ 2.148 ασθενείς. Οι εισαγωγές2 νέων ασθενών Covid-19 στα νοσοκομεία της επικράτειας είναι 369 (ημερήσια μεταβολή -4.65%). Ο μέσος όρος εισαγωγών του επταημέρου είναι 411 ασθενείς.
Η διάμεση ηλικία των κρουσμάτων είναι 44 έτη (εύρος 0.2 έως 106 έτη), ενώ η διάμεση ηλικία των θανόντων είναι 78 έτη (εύρος 0.2 έως 106 έτη).
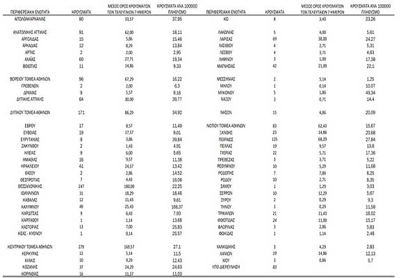
Κατανομή ανακοινωθέντων εγχώριων κρουσμάτων: Από το σύνολο των 2.093 νέων κρουσμάτων του νέου ιού στη χώρα 8 είναι εισαγόμενα εκ των οποίων 6 εντοπίστηκαν κατόπιν ελέγχων στις πύλες εισόδου της χώρας. Η κατανομή των 2.085 νέων εγχώριων κρουσμάτων ανά Περιφερειακή Ενότητα παρουσιάζεται στον κατωτέρω πίνακα.




