Ειδήσεις και θέματα υγείας διατροφής και ομορφιάς. Συμβουλές για υγεία και ευεξία
Κορωνοϊός: 2.938 νέα κρούσματα - 33 στην Ηλεία, 7 θάνατοι και 135 διασωληνωμένοι
- In Υγεία
- Τελευταία ενημέρωση : 14 Ιούλιος 2021
Τα νέα εργαστηριακά επιβεβαιωμένα κρούσματα της νόσου που καταγράφηκαν τις τελευταίες 24 ώρες είναι 2.938, εκ των οποίων 7 εντοπίστηκαν κατόπιν ελέγχων στις πύλες εισόδου της χώρας. Ο συνολικός αριθμός των κρουσμάτων ανέρχεται σε 447.718 (ημερήσια μεταβολή +0.7%), εκ των οποίων 51.2% άνδρες.
Με βάση τα επιβεβαιωμένα κρούσματα των τελευταίων 7 ημερών, 165 θεωρούνται σχετιζόμενα με ταξίδι από το εξωτερικό και 1.832 είναι σχετιζόμενα με ήδη γνωστό κρούσμα.
Οι νέοι θάνατοι ασθενών με COVID-19 είναι 7, ενώ από την έναρξη της επιδημίας έχουν καταγραφεί συνολικά 12.813 θάνατοι. Το 95.2% είχε υποκείμενο νόσημα ή/και ηλικία 70 ετών και άνω.
Ο αριθμός των ασθενών που νοσηλεύονται διασωληνωμένοι είναι 135 (65.9% άνδρες). Η διάμεση ηλικία τους είναι 66 έτη. To 84.4% έχει υποκείμενο νόσημα ή/και ηλικία 70 ετών και άνω. Από την αρχή της πανδημίας έχουν εξέλθει από τις ΜΕΘ 2.739 ασθενείς. Οι εισαγωγές2 νέων ασθενών Covid-19 στα νοσοκομεία της επικράτειας είναι 100 (ημερήσια μεταβολή -10.71%). Ο μέσος όρος εισαγωγών του επταημέρου είναι 80 ασθενείς.Η διάμεση ηλικία των κρουσμάτων είναι 42 έτη (εύρος 0.2 έως 106 έτη), ενώ η διάμεση ηλικία των θανόντων είναι 78 έτη (εύρος 0.2 έως 106 έτη).
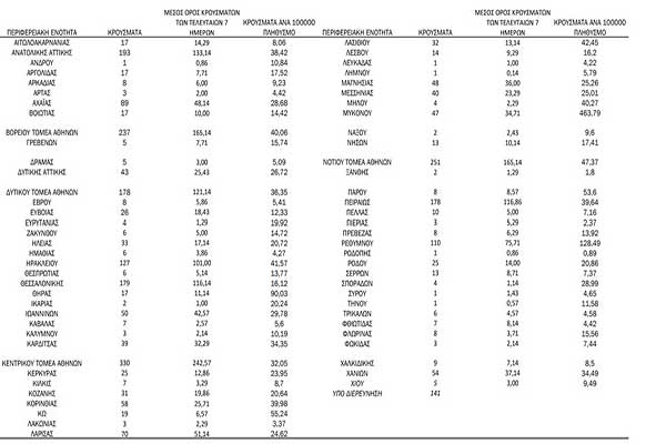
Κατανομή ανακοινωθέντων εγχώριων κρουσμάτων:
Από το σύνολο των 2.938 νέων κρουσμάτων του νέου ιού στη χώρα 19 είναι εισαγόμενα εκ των οποίων 7 εντοπίστηκαν κατόπιν ελέγχων στις πύλες εισόδου της χώρας . Η κατανομή των 2.919 νέων εγχώριων κρουσμάτων ανά Περιφερειακή Ενότητα παρουσιάζεται στον κατωτέρω πίνακα.




