Ειδήσεις και θέματα υγείας διατροφής και ομορφιάς. Συμβουλές για υγεία και ευεξία
Κορωνοϊός: 4.307 νέα κρούσματα - 15 στην Ηλεία, 52 θάνατοι και 470 διασωληνωμένοι
- In Υγεία
- Τελευταία ενημέρωση : 07 Νοέμβριος 2021
Τα νέα εργαστηριακά επιβεβαιωμένα κρούσματα της νόσου που καταγράφηκαν τις τελευταίες 24 ώρες είναι 4.307 , εκ των οποίων 13 εντοπίστηκαν κατόπιν ελέγχων στις πύλες εισόδου της χώρας. Ο συνολικός αριθμός των κρουσμάτων ανέρχεται σε 784.904 (ημερήσια μεταβολή +0.6%), εκ των οποίων 50.7% άνδρες. Με βάση τα επιβεβαιωμένα κρούσματα των τελευταίων 7 ημερών, 153 θεωρούνται σχετιζόμενα με ταξίδι από το εξωτερικό και 2.796 είναι σχετιζόμενα με ήδη γνωστό κρούσμα.
Οι νέοι θάνατοι ασθενών με COVID-19 είναι 52, ενώ από την έναρξη της επιδημίας έχουν καταγραφεί συνολικά 16.295 θάνατοι. Το 95.4% είχε υποκείμενο νόσημα ή/και ηλικία 70 ετών και άνω.
Ο αριθμός των ασθενών που νοσηλεύονται διασωληνωμένοι είναι 470 (58.1% άνδρες). Η διάμεση ηλικία τους είναι 65 έτη. To 81.5% έχει υποκείμενο νόσημα ή/και ηλικία 70 ετών και άνω. Μεταξύ των ασθενών που νοσηλεύονται διασωληνωμένοι, 382 (81.28%) είναι ανεμβολίαστοι ή μερικώς εμβολιασμένοι και 88 (18.72%) είναι πλήρως εμβολιασμένοι. Από την αρχή της πανδημίας έχουν εξέλθει από τις ΜΕΘ 3.351 ασθενείς. Οι εισαγωγές νέων ασθενών Covid-19 στα νοσοκομεία της επικράτειας είναι 385 (ημερήσια μεταβολή +11.92%). Ο μέσος όρος εισαγωγών του επταημέρου είναι 337 ασθενείς.Η διάμεση ηλικία των κρουσμάτων είναι 38 έτη (εύρος 0.2 έως 106 έτη), ενώ η διάμεση ηλικία των θανόντων είναι 78 έτη (εύρος 0.2 έως 106 έτη).
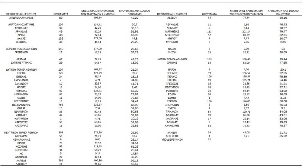
Κατανομή ανακοινωθέντων εγχώριων κρουσμάτων: Από το σύνολο των 4.307 νέων κρουσμάτων του νέου ιού στη χώρα 18 είναι εισαγόμενα εκ των οποίων 13 εντοπίστηκαν κατόπιν ελέγχων στις πύλες εισόδου της χώρας . Η κατανομή των 4.289 νέων εγχώριων κρουσμάτων ανά Περιφερειακή Ενότητα παρουσιάζεται στον κατωτέρω πίνακα.

photo pixabay



