Ειδήσεις και θέματα υγείας διατροφής και ομορφιάς. Συμβουλές για υγεία και ευεξία
Κορωνοϊός: 19.504 νέα κρούσματα - 269 στην Ηλεία, 93 θάνατοι και 484 διασωληνωμένοι
- In Υγεία
- Τελευταία ενημέρωση : 17 Φεβρουάριος 2022
Τα νέα εργαστηριακά επιβεβαιωμένα κρούσματα της νόσου που καταγράφηκαν τις τελευταίες 24 ώρες είναι 19.504, εκ των οποίων 45 εντοπίστηκαν κατόπιν ελέγχων στις πύλες εισόδου της χώρας. Ο συνολικός αριθμός των κρουσμάτων ανέρχεται σε 2.255.421 (ημερήσια μεταβολή +0.9%), εκ των οποίων 49.7% άνδρες. Με βάση τα επιβεβαιωμένα κρούσματα των τελευταίων 7 ημερών, 363 θεωρούνται σχετιζόμενα με ταξίδι από το εξωτερικό και 2.187 είναι σχετιζόμενα με ήδη γνωστό κρούσμα.
Οι νέοι θάνατοι ασθενών με COVID-19 είναι 93, ενώ από την έναρξη της επιδημίας έχουν καταγραφεί συνολικά 25.095 θάνατοι. Το 95.0% είχε υποκείμενο νόσημα ή/και ηλικία 70 ετών και άνω.
Ο αριθμός των ασθενών που νοσηλεύονται διασωληνωμένοι είναι 484 (63.0% άνδρες). Η διάμεση ηλικία τους είναι 66 έτη. To 86.0% έχει υποκείμενο νόσημα ή/και ηλικία 70 ετών και άνω. Μεταξύ των ασθενών που νοσηλεύονται διασωληνωμένοι, 359 (74.17%) είναι ανεμβολίαστοι ή μερικώς εμβολιασμένοι και 125 (25.83%) είναι πλήρως εμβολιασμένοι. Από την αρχή της πανδημίας έχουν εξέλθει από τις ΜΕΘ 4.180 ασθενείς. Οι εισαγωγές νέων ασθενών Covid-19 στα νοσοκομεία της επικράτειας είναι 375 (ημερήσια μεταβολή -16.29%). Ο μέσος όρος εισαγωγών του επταημέρου είναι 377 ασθενείς.Η διάμεση ηλικία των κρουσμάτων είναι 35 έτη (εύρος 0.2 έως 106 έτη), ενώ η διάμεση ηλικία των θανόντων είναι 79 έτη (εύρος 0.2 έως 106 έτη).
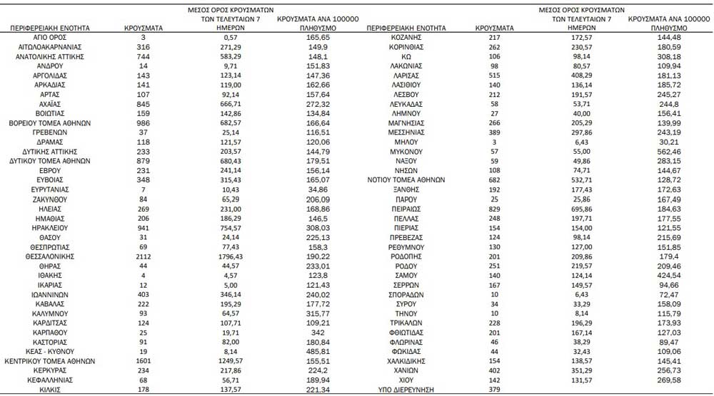
Κατανομή ανακοινωθέντων εγχώριων κρουσμάτων: Από το σύνολο των 19.504 νέων κρουσμάτων του νέου ιού στη χώρα 53 είναι εισαγόμενα εκ των οποίων 45 εντοπίστηκαν κατόπιν ελέγχων στις πύλες εισόδου της χώρας . Η κατανομή των 19.451 νέων εγχώριων κρουσμάτων ανά Περιφερειακή Ενότητα παρουσιάζεται στον κατωτέρω πίνακα.

photo: pixabay



