06Φεβρουάριος2026

Βρίσκεστε εδώ: Πρωτοσέλιδο | Υγεία | Κορωνοϊός: 24.256 νέα κρούσματα - 352 στην Ηλεία, 59 θάνατοι και 348 διασωληνωμένοι

Ειδήσεις και θέματα υγείας διατροφής και ομορφιάς. Συμβουλές για υγεία και ευεξία

Κορωνοϊός: 24.256 νέα κρούσματα - 352 στην Ηλεία, 59 θάνατοι και 348 διασωληνωμένοι

Τα νέα εργαστηριακά επιβεβαιωμένα κρούσματα της νόσου που καταγράφηκαν τις τελευταίες 24 ώρες είναι 24.256 , εκ των οποίων 22 εντοπίστηκαν κατόπιν ελέγχων στις πύλες εισόδου της χώρας. Ο συνολικός αριθμός των κρουσμάτων ανέρχεται σε 2.732.866 (ημερήσια μεταβολή +0.9%), εκ των οποίων 49.3% άνδρες. Με βάση τα επιβεβαιωμένα κρούσματα των τελευταίων 7 ημερών, 211 θεωρούνται σχετιζόμενα με ταξίδι από το εξωτερικό και 1.675 είναι σχετιζόμενα με ήδη γνωστό κρούσμα.

Οι νέοι θάνατοι ασθενών με COVID-19 είναι 59, ενώ από την έναρξη της επιδημίας έχουν καταγραφεί συνολικά 26.792 θάνατοι.  Το 95.2% είχε υποκείμενο νόσημα ή/και ηλικία 70 ετών και άνω.

Ο αριθμός των ασθενών που νοσηλεύονται διασωληνωμένοι είναι 348 (63.5% άνδρες). Η διάμεση ηλικία τους είναι 69 έτη. To 90.2% έχει υποκείμενο νόσημα ή/και ηλικία 70 ετών και άνω. Μεταξύ των ασθενών που νοσηλεύονται διασωληνωμένοι, 224 (64.37%) είναι ανεμβολίαστοι ή μερικώς εμβολιασμένοι και 124 (35.63%) είναι πλήρως εμβολιασμένοι. Από την αρχή της πανδημίας έχουν εξέλθει από τις ΜΕΘ 4.381 ασθενείς. Οι εισαγωγές νέων ασθενών Covid-19 στα νοσοκομεία της επικράτειας είναι 338 (ημερήσια μεταβολή -2.03%). Ο μέσος όρος εισαγωγών του επταημέρου είναι 300 ασθενείς.Η διάμεση ηλικία των κρουσμάτων είναι 35 έτη (εύρος 0.2 έως 112 έτη), ενώ η διάμεση ηλικία των θανόντων είναι 79 έτη (εύρος 0.2 έως 106 έτη).

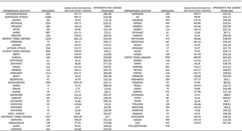
Κατανομή ανακοινωθέντων εγχώριων κρουσμάτων: Από το σύνολο των 24.256 νέων κρουσμάτων του νέου ιού στη χώρα 28 είναι εισαγόμενα εκ των οποίων 22 εντοπίστηκαν κατόπιν ελέγχων στις πύλες εισόδου της χώρας . Η κατανομή των 24.228 νέων εγχώριων κρουσμάτων ανά Περιφερειακή Ενότητα παρουσιάζεται στον κατωτέρω πίνακα.

kra

myILIAnews.gr

Ειδήσεις-Ενημέρωση από την Ηλεία, την Ελλάδα και όλο τον κόσμο!