Ειδήσεις και θέματα υγείας διατροφής και ομορφιάς. Συμβουλές για υγεία και ευεξία
Κορωνοϊός: 9.288 νέα κρούσματα - 49 στην Ηλεία, 15 θάνατοι και 103 διασωληνωμένοι
- In Υγεία
- Τελευταία ενημέρωση : 15 Ιούνιος 2022
Τα νέα εργαστηριακά επιβεβαιωμένα κρούσματα της νόσου(άτομα) που καταγράφηκαν τις τελευταίες 24 ώρες ήταν 9.288. Ο συνολικός αριθμός των ατόμων που νόσησαν ανέρχεται σε 3.517.898 (ημερήσια μεταβολή +0.3%), εκ των οποίων 48.7% άνδρες. Ο αριθμός πιθανών νέων επαναλοιμώξεων που καταγράφηκαν τις τελευταίες 24 ώρες ήταν 1.274 ενώ από την αρχή της πανδημίας SARS-CoV-2 ο συνολικός αριθμός εκτιμάται σε 144.221(3.9% του συνολικού αριθμού των θετικών αποτελεσμάτων). To Rt για την επικράτεια βάσει των κρουσμάτων εκτιμάται σε 0.97 (95% ΔΕ: 0.88 - 1.03).
Οι νέοι θάνατοι ασθενών με COVID-19 είναι 15, ενώ από την έναρξη της επιδημίας έχουν καταγραφεί συνολικά 30.049 θάνατοι. Το 95.6% είχε υποκείμενο νόσημα ή/και ηλικία 70 ετών και άνω.
Ο αριθμός των ασθενών που νοσηλεύονται διασωληνωμένοι είναι 103 (55.3% άνδρες). Η διάμεση ηλικία τους είναι 69 έτη. To 92.2% έχει υποκείμενο νόσημα ή/και ηλικία 70 ετών και άνω. Μεταξύ των ασθενών που νοσηλεύονται διασωληνωμένοι, 49 (47.57%) είναι ανεμβολίαστοι ή μερικώς εμβολιασμένοι και 54 (52.43%) είναι πλήρως εμβολιασμένοι. Από την αρχή της πανδημίας έχουν εξέλθει από τις ΜΕΘ 4.704 ασθενείς. Οι εισαγωγές νέων ασθενών Covid-19 στα νοσοκομεία της επικράτειας είναι 126 (ημερήσια μεταβολή +9.57%). Ο μέσος όρος εισαγωγών του επταημέρου είναι 104 ασθενείς.Η διάμεση ηλικία των κρουσμάτων είναι 37 έτη (εύρος 0.2 έως 112 έτη), ενώ η διάμεση ηλικία των θανόντων είναι 80 έτη (εύρος 0.2 έως 106 έτη).
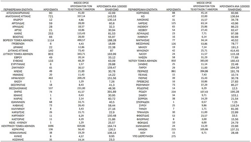
Κατανομή ανακοινωθέντων εγχώριων κρουσμάτων: Από το σύνολο των 10.562 νέων κρουσμάτων του νέου ιού στη χώρα 8 είναι εισαγόμενα. Η κατανομή των 10.554 νέων εγχώριων κρουσμάτων ανά Περιφερειακή Ενότητα παρουσιάζεται στον κατωτέρω πίνακα.

photo: pixabay



