Ειδήσεις και θέματα υγείας διατροφής και ομορφιάς. Συμβουλές για υγεία και ευεξία
Κορωνοϊός: 11.972 νέα κρούσματα - 100 στην Ηλεία, 13 θάνατοι και 86 διασωληνωμένοι
- In Υγεία
- Τελευταία ενημέρωση : 24 Ιούνιος 2022
Τα νέα εργαστηριακά επιβεβαιωμένα κρούσματα της νόσου(άτομα) που καταγράφηκαν τις τελευταίες 24 ώρες ήταν 11.972. Ο συνολικός αριθμός των ατόμων που νόσησαν ανέρχεται σε 3.595.498 (ημερήσια μεταβολή +0.3%), εκ των οποίων 48.7% άνδρες. Ο αριθμός πιθανών νέων επαναλοιμώξεων που καταγράφηκαν τις τελευταίες 24 ώρες ήταν 2.000 ενώ από την αρχή της πανδημίας SARS-CoV-2 ο συνολικός αριθμός εκτιμάται σε 156.546(4.2% του συνολικού αριθμού των θετικών αποτελεσμάτων).
Οι νέοι θάνατοι ασθενών με COVID-19 είναι 13, ενώ από την έναρξη της επιδημίας έχουν καταγραφεί συνολικά 30.154 θάνατοι. Το 95.7% είχε υποκείμενο νόσημα ή/και ηλικία 70 ετών και άνω.
Ο αριθμός των ασθενών που νοσηλεύονται διασωληνωμένοι είναι 86 (60.5% άνδρες). Η διάμεση ηλικία τους είναι 69 έτη. To 93.0% έχει υποκείμενο νόσημα ή/και ηλικία 70 ετών και άνω. Μεταξύ των ασθενών που νοσηλεύονται διασωληνωμένοι, 42 (48.84%) είναι ανεμβολίαστοι ή μερικώς εμβολιασμένοι και 44 (51.16%) είναι πλήρως εμβολιασμένοι. Από την αρχή της πανδημίας έχουν εξέλθει από τις ΜΕΘ 4.720 ασθενείς. Οι εισαγωγές νέων ασθενών COVID-19 στα νοσοκομεία της επικράτειας είναι 219 (ημερήσια μεταβολή +14.06%). Ο μέσος όρος εισαγωγών του επταημέρου είναι 165 ασθενείς.Η διάμεση ηλικία των κρουσμάτων είναι 37 έτη (εύρος 0.2 έως 112 έτη), ενώ η διάμεση ηλικία των θανόντων είναι 80 έτη (εύρος 0.2 έως 106 έτη).
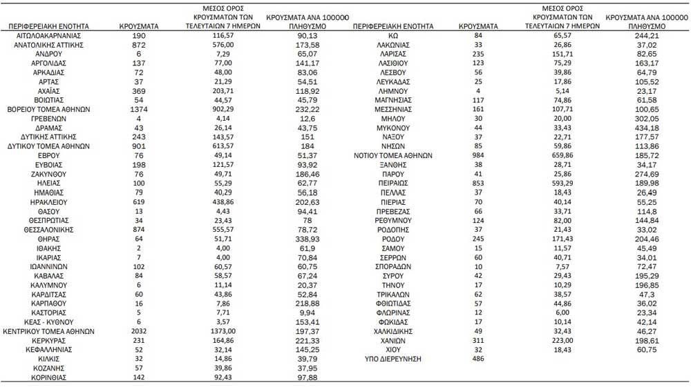
Κατανομή ανακοινωθέντων εγχώριων κρουσμάτων: Από το σύνολο των 13.972 νέων κρουσμάτων του νέου ιού στη χώρα 4 είναι εισαγόμενα. Η κατανομή των 13.968 νέων εγχώριων κρουσμάτων ανά Περιφερειακή Ενότητα παρουσιάζεται στον κατωτέρω πίνακα.

photo: pixabay



