Ειδήσεις και θέματα υγείας διατροφής και ομορφιάς. Συμβουλές για υγεία και ευεξία
Κορωνοϊός: 18.855 νέα κρούσματα - 254 στην Ηλεία, 109 θάνατοι και 549 διασωληνωμένοι
- In Υγεία
- Τελευταία ενημέρωση : 07 Φεβρουάριος 2022
Τα νέα εργαστηριακά
επιβεβαιωμένα κρούσματα της νόσου που καταγράφηκαν τις τελευταίες 24 ώρες είναι 18.855 , εκ των οποίων 63 εντοπίστηκαν κατόπιν ελέγχων στις πύλες εισόδου της χώρας. Ο συνολικός αριθμός των κρουσμάτων ανέρχεται σε 2.066.696 (ημερήσια μεταβολή +0.9%), εκ των οποίων 49.8% άνδρες.
Με βάση τα επιβεβαιωμένα κρούσματα των τελευταίων 7 ημερών, 381 θεωρούνται σχετιζόμενα με ταξίδι από το εξωτερικό και 2.350 είναι σχετιζόμενα με ήδη γνωστό κρούσμα
Οι νέοι θάνατοι ασθενών με COVID-19 είναι 109, ενώ από την έναρξη της επιδημίας έχουν καταγραφεί συνολικά 24.210 θάνατοι.
Το 95.1% είχε υποκείμενο νόσημα ή/και ηλικία 70 ετών και άνω.
Ο αριθμός των ασθενών που νοσηλεύονται διασωληνωμένοι είναι 549 (61.0% άνδρες). Η διάμεση ηλικία τους είναι 66 έτη. To 84.5% έχει υποκείμενο νόσημα ή/και ηλικία 70 ετών και άνω. Μεταξύ των ασθενών που νοσηλεύονται διασωληνωμένοι, 427 (77.78%) είναι ανεμβολίαστοι ή μερικώς εμβολιασμένοι και 122 (22.22%) είναι πλήρως εμβολιασμένοι. Από την αρχή της πανδημίας έχουν εξέλθει από τις ΜΕΘ 4.095 ασθενείς.Οι εισαγωγές νέων ασθενών Covid-19 στα νοσοκομεία της επικράτειας είναι 364 (ημερήσια μεταβολή -10.12%). Ο μέσος όρος εισαγωγών του επταημέρου είναι 467 ασθενείς.Η διάμεση ηλικία των κρουσμάτων είναι 35 έτη (εύρος 0.2 έως 106 έτη), ενώ η διάμεση ηλικία των θανόντων είναι 78 έτη (εύρος 0.2 έως 106 έτη).
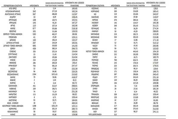
Κατανομή ανακοινωθέντων εγχώριων κρουσμάτων: Από το σύνολο των 18.855 νέων κρουσμάτων του νέου ιού στη χώρα 65 είναι εισαγόμενα Περιφερειακή Ενότητα παρουσιάζεται στον κατωτέρω πίνακα.




